Согласно отчёту Всемирной организации здравоохранения (WHO), ежегодно около 7 миллионов человек умирают от последствий, связанных с загрязнением воздуха, и 99% населения мира проживает в районах, где качество воздуха ниже безопасных стандартов. Значительная часть этого глобального кризиса связана с промышленными загрязнителями.
Одним из самых опасных промышленных загрязнителей является токсичное и высокореакционноспособное соединение — оксиды азота (NOx). Этот загрязнитель, известный как NOx, является одним из ключевых факторов образования кислотных дождей, удушающего городского смога и тяжёлых респираторных заболеваний, особенно бронхиальной астмы у детей.
Далее мы подробно рассмотрим различные виды NOx, современные технологии снижения выбросов этого опасного загрязнителя и роль компании Best Thermo Solutions в уменьшении его воздействия на окружающую среду.
Загрязнители NOx, или оксиды азота, представляют собой группу высокореакционноспособных газов, таких как оксид азота (NO) и диоксид азота (NO₂), которые образуются при сжигании ископаемого топлива при высоких температурах — особенно на электростанциях, в автомобильных двигателях и в промышленных процессах. Эти соединения вносят значительный вклад в загрязнение атмосферного воздуха и, помимо создания экологических проблем, таких как образование приземного озона, кислотные дожди и загрязнение водных ресурсов, представляют серьёзную опасность для здоровья человека.
Воздействие повышенных концентраций NOx может привести к респираторным заболеваниям, обострению астмы и даже к сердечно-сосудистым нарушениям. Именно поэтому снижение выбросов NOx является одной из важнейших задач современной промышленности и систем контроля загрязнения воздуха.
NOx образуется как побочный продукт процесса сгорания в двигателях и промышленных установках. Эти соединения формируются во время высокотемпературных реакций и являются одними из основных источников городского загрязнения воздуха. Из-за участия в химических реакциях, протекающих в атмосфере, NOx вызывает серьёзные экологические и медицинские проблемы. Термин NOx используется как обобщённое название для всей группы оксидов азота.
Диоксид азота включает семь различных химических соединений, которые представлены в таблице ниже.
| Формула | Название | Валентность азота | Характеристики |
|---|---|---|---|
| N2O5 | Оксид азота | 5 | Белое твердое веществоХорошо растворимое в водеРазлагается в воде |
| N2O4NO2 | Четырехокись диазотаДиоксид азота | 4 | Красно-коричневый газХорошо растворимое в водеРазлагается в воде |
| N2O3 | Tрехокись азота | 3 | Черный твердыйРастворимый в водеРазлагается в воде |
| N2O2NO | Двуокись азотаOксид азота | 2 | Бесцветный газCлабо растворимый в воде |
| N2O | Оксид азота | 1 | Бесцветный газCлабо растворимый в воде |
Среди перечисленных семи химических соединений наиболее распространённой формой оксидов азота в атмосфере является NO₂. Именно по этой причине Агентство по защите окружающей среды США (EPA) рассматривает эту молекулу как основной индикатор загрязнения, связанного с NOx.
Когда в контексте процессов сгорания говорят о NOx, в основном имеют в виду NO и NO₂. Хотя в результате сгорания могут образовываться и другие формы оксидов азота, только NO и NO₂ вырабатываются в значимых количествах. Поэтому именно для этих двух соединений разработаны нормы, стандарты и регуляторные требования.
Следует отметить, что образующийся в процессе сгорания NO со временем окисляется, вступая в реакцию с кислородом и озоном, присутствующими в атмосфере, и превращается в NO₂.
Оксид азота (NO):Бесцветный и без запаха газ, образующийся при высоких температурах в процессе сгорания. Этот газ легко реагирует с кислородом и превращается в диоксид азота (NO₂).
Диоксид азота (NO₂):Газ бурого цвета с резким запахом, который непрерывно вступает в реакции с другими химическими соединениями в атмосфере, способствуя образованию кислотных дождей и приземного озона.
В соответствии с докладом Всемирной организации здравоохранения (WHO) о загрязняющих газах, характеристики NO₂ описываются следующим образом:
Диоксид азота (NO₂) — это газ красновато-коричневого цвета, хорошо растворимый в воде и являющийся сильным окислителем. Его основные источники в окружающей среде связаны со сжиганием топлива при высоких температурах в таких процессах, как отопление, транспорт, различные промышленные производства и выработка электроэнергии.
Бытовыми источниками оксидов азота (NOx) являются топливосжигающие устройства, такие как котлы, камины, газовые плиты и духовки. Воздействие диоксида азота может вызвать раздражение дыхательных путей и обострение респираторных заболеваний.

Присутствие оксидов азота в атмосфере может приводить к серьёзным экологическим последствиям, включая следующие:
Образование кислотных дождей:Эти газы реагируют с водой в воздухе, превращаясь в кислоты. Затем они выпадают на землю вместе с дождём, что приводит к разрушению зданий, снижению плодородия почв и загрязнению водных ресурсов.
Формирование приземного озона:Под воздействием солнечного света NOx вступает в фотохимические реакции, в результате которых образуется токсичный газ — приземный озон. Именно он является причиной смога, наблюдаемого в крупных городах, и наносит ущерб как дыхательной системе человека, так и растениям.
Вред для здоровья человека:Оксиды азота являются одним из основных факторов развития сердечно-сосудистых и респираторных заболеваний. Вдыхание этих газов вызывает воспаление дыхательных путей, что повреждает лёгкие и увеличивает нагрузку на сердце. В результате повышается риск сердечных приступов, лёгочных инфекций и обострения астмы.

Роль нормативов и стандартов в снижении выбросов NOx
Учитывая вред и опасность оксидов азота, а также растущую чувствительность общества к вопросам охраны окружающей среды, сегодня во многих странах применяются строгие экологические стандарты, которые существенно ограничивают образование выбросов NOx на промышленных предприятиях, в двигателях внутреннего сгорания и других источниках.
Эти нормы и требования привели к успешному снижению концентрации оксидов азота в атмосфере во многих индустриально развитых государствах.
Например, на приведённом ниже графике показана динамика изменения среднегодовой концентрации NOx в воздухе США в период с 1980 по 2023 годы.

Когда речь идёт о контроле выбросов NOx и достижении чистого сгорания, ключевую роль играет выбор технологии горелки. В этой области за последние годы были разработаны новые промышленные решения, направленные на снижение выбросов продуктов сгорания. Одной из наиболее современных технологий, отвечающих строгим международным нормам по выбросам, являются предсмесительные горелки (premix burners).
Компания Best Thermo Solutions, стремясь защитить окружающую среду и модернизировать сферу промышленного сжигания в Иране, начала производство таких горелок в соответствии с потребностями промышленного сектора. Для полного ознакомления с характеристиками и преимуществами данной технологии вы можете перейти на страницу предсмесительных (премикс) горелок Best Thermo Solutions.
Образование оксидов азота (NOx) в процессах сгорания — это сложное явление, которое происходит по трём основным и принципиально различным механизмам:
Каждый из этих механизмов активируется под воздействием определённых факторов — таких как температура, состав топлива и концентрация кислорода. Точное понимание этих процессов является критически важным для эффективного контроля выбросов NOx. Ниже приводится подробный обзор трёх типов оксидов азота.
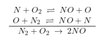
Этот тип оксидов азота образуется при чрезвычайно высоких температурах, особенно в котлах, печах и двигателях внутреннего сгорания. Химические реакции между азотом (N₂) и кислородом (O₂) при температурах выше 1300 °C приводят к разрыву их молекулярных связей и образованию оксида азота (NO).
Основные методы снижения образования термического NOx включают:

Атом азота (N) сталкивается с молекулой кислорода (O₂). В результате этого столкновения образуются молекула оксида азота (NO) и атом кислорода (O). Эта реакция инициирует цепочку последующих превращений.
Атом кислорода, образовавшийся на предыдущем этапе, сталкивается с молекулой азота (N₂). В результате образуется ещё одна молекула оксида азота (NO) и атом азота (N). Полученный атом азота снова вовлекается в реакцию первого этапа, тем самым поддерживая развитие цепной реакции.
Если рассматривать оба этапа в совокупности, становится очевидно, что в результате взаимодействия одной молекулы азота (N₂) и одной молекулы кислорода (O₂) формируются две молекулы оксида азота (NO).

Как уже было сказано в начале, эти реакции протекают при очень высоких температурах. Это связано с тем, что для разрыва молекул азота и кислорода и образования отдельных атомов требуется большое количество энергии. Высокая температура в пламени промышленных горелок обеспечивает эту необходимую энергию.
Молекула кислорода (O₂) благодаря двойной связи расщепляется легче, чем молекула азота (N₂), имеющая тройную связь. Это означает, что разрыв молекулы азота значительно сложнее; именно поэтому второй этап реакции, на котором происходит расщепление N₂, является стадией, ограничивающей скорость процесса. Проще говоря, поскольку второй этап протекает медленнее, он и определяет скорость всей реакции.
При допущении, что атомарный кислород находится в равновесии с молекулярным кислородом, концентрация оксида азота (NO) во времени изменяется согласно следующему уравнению:

Повышение температуры резко усиливает образование NO. Поэтому наиболее интенсивное формирование оксида азота происходит в «горячих точках» пламени — зонах с максимальной температурой. Следовательно, снижение температуры пламени является одним из самых эффективных способов уменьшения выбросов NO.
Концентрация кислорода играет важнейшую роль в процессе образования NO. Чем выше содержание кислорода в зоне реакции, тем больше оксида азота образуется. Соответственно, уменьшение концентрации O₂ позволяет снизить интенсивность формирования NO.
В ходе реакции концентрация азота практически не изменяется, поэтому [N₂] можно считать величиной, близкой к постоянной. По этой причине влияние азота в кинетическом уравнении входит как умножающий коэффициент, не изменяющий форму зависимости.
На основании приведённого уравнения и его интерпретации можно выделить три основных подхода к снижению образования термического NOx в процессах сгорания:
Поскольку температура является главным фактором образования NO, охлаждение пламени значительно уменьшает скорость реакции.
Уменьшая количество доступного кислорода в зоне горения, можно эффективно ограничивать образование оксида азота.
Если горячие продукты сгорания быстро покидают область пламени, у реакции просто не хватает времени для образования значительного количества NO.
Грамотное сочетание этих трёх методов создаёт неблагоприятные условия для образования термического NOx и позволяет свести его выбросы к минимуму.

На верхнем изображении показана температура пламени, а на нижнем — концентрация загрязняющих веществ. Чем выше температура пламени, тем интенсивнее образование NOx.
Эти соединения образуются тогда, когда азот, содержащийся в молекулах ископаемого или биотоплива, реагирует с кислородом. Топлива, такие как уголь и нефть, как правило, содержат связанный азот, который при высоких температурах превращается в оксиды азота. Использование более чистых видов топлива, например природного газа, существенно снижает образование данного типа загрязнений.
Если в топливе присутствует только молекулярный азот (N₂) в свободном виде, он из-за своей высокой химической устойчивости не вступает в реакцию сгорания и, следовательно, не является источником NOx.
Кроме того, молекулярный азот может выполнять функцию разбавителя, уменьшая концентрацию активных реагентов и температуру пламени. Это приводит к снижению образования как термического NOx, так и топливного NOx.
Если топливо содержит атомы азота (например, соединения общего вида CxHyN), при сгорании оно сначала разлагается на промежуточные продукты, такие как HCN (синильная кислота) и CN (цианид-радикал). Этот процесс можно описать следующим уравнением:
CxHyN → HCN + CN + …
Затем эти промежуточные соединения реагируют с кислородом (O₂), в результате чего образуется оксид азота (NO). Процесс можно представить следующим образом:
HCN + CN + O₂ → NO + …
Уменьшение содержания кислорода в камере сгорания снижает образование NOx, поскольку замедляется реакция превращения промежуточных соединений (HCN, CN) в оксид азота (NO).
Если применяются топлива, не содержащие связанный азот — например, природный газ — образование топливного NOx становится невозможным. По этой причине один из наиболее эффективных промышленных методов снижения выбросов NOx — применение топлива, полностью лишённого азота.
В этом механизме азот, содержащийся в воздухе, напрямую реагирует с молекулами топлива, а промежуточные соединения, образующиеся в ходе реакции, в конечном итоге превращаются в оксид азота (NO). Этот процесс может происходить даже при относительно низких температурах и обычно усиливается при повышенной концентрации топлива в камере сгорания. Поэтому разбавление топлива и снижение его концентрации является эффективным способом уменьшения образования этого вида NOx.
Молекулы топлива (например, CHx) реагируют с молекулами азота (N₂) в воздухе. Это взаимодействие приводит к разрыву прочной тройной связи N≡N и образованию промежуточных соединений, таких как HCN и CN.
Эта стадия более сложная по сравнению с образованием топливного NOx, поскольку разрыв тройной связи азота требует большей энергии.
CHx + N₂ → HCN + CN + …
Затем промежуточные продукты (HCN и CN) реагируют с кислородом (O₂), в результате чего образуется оксид азота (NO):
HCN + CN + O₂ → NO + …
Один из наиболее эффективных методов снижения NOx — разбавление топлива перед попаданием в зону пламени. Это означает, что топливо смешивается с продуктами сгорания ещё до того, как достигает области активного горения.
Обычно это достигается специальной конструкцией горелки, при которой струи топлива на высокой скорости втягивают продукты сгорания и смешиваются с ними. В результате топливо поступает в пламя в разбавленном виде, что существенно уменьшает образование оксидов азота.
С развитием технологий и ростом экологической ответственности промышленность всё активнее стремится уменьшить выбросы опасных загрязнителей, включая оксиды азота (NOx). NOx является одним из ключевых компонентов городского смога и оказывает серьёзное воздействие на здоровье человека и окружающую среду. В этой связи современные технологии снижения NOx стали одним из наиболее эффективных решений. Ниже рассмотрены некоторые из этих технологий.
Этот метод заключается в возврате части дымовых газов обратно в камеру сгорания. Рециркулированные продукты сгорания снижают температуру пламени и уменьшают концентрацию кислорода, что эффективно препятствует образованию термического NOx.
Благодаря своей простоте, надёжности и высокой эффективности, технология FGR широко применяется в котлах, промышленных печах и газовых турбинах.

Системы рециркуляции дымовых газов (FGR — Flue Gas Recirculation)
Этот метод заключается в возврате части дымовых газов обратно в камеру сгорания. Рециркулированные продукты сгорания снижают температуру пламени и уменьшают концентрацию кислорода, что эффективно препятствует образованию термического NOx.
Благодаря своей простоте, надёжности и высокой эффективности, технология FGR широко применяется в котлах, промышленных печах и газовых турбинах.
В этой технологии используются восстановители, такие как аммиак (NH₃) или мочевина, для превращения оксида азота (NO) в азот (N₂) и водяной пар (H₂O). Данная методика, подобно технологии SCR, предназначена для удаления NOx из отходящих продуктов сгорания и не зависит от типа горелки.
В отличие от избирательного каталитического восстановления (SCR), метод SNCR не требует применения катализатора — восстановитель вводится непосредственно в поток дымовых газов. Однако процесс протекает при более высоких температурах, обычно в диапазоне 900–1100 °C.
Система SNCR является более простой и экономичной по сравнению с SCR, однако её эффективность ниже: она способна обеспечить снижение выбросов NOx на 40–70%. Некаталитическое восстановление наиболее эффективно в условиях, когда концентрация загрязнителей высока, а температура дымовых газов находится в оптимальном диапазоне для протекания восстановительных реакций.

В данном методе топливо смешивается с имеющимися продуктами сгорания ещё до того, как оно достигает зоны пламени. Такое предварительное смешивание приводит к снижению температуры пламени и существенно ограничивает образование оксидов азота (NOx).
Введение пара или воды в камеру сгорания снижает температуру пламени и ограничивает образование термического NOx. Преимуществами этого метода являются сравнительно низкая стоимость и возможность внедрения в существующие системы без значительных модификаций.
Предсмесительные горелки обеспечивают полное смешение топлива и воздуха до начала сгорания, что приводит к уменьшению температуры пламени и снижению образования NOx.
Благодаря равномерной температуре пламени, такие горелки образуют крайне низкие уровни термического NOx.
Горелки типа Low-NOx благодаря специальной конструкции зоны горения формируют пламя с равномерным температурным профилем. Снижение температуры пламени позволяет значительно уменьшить выбросы оксидов азота (NOx).
Эта технология широко применяется в котлах и промышленных печах.
Мы в Best Thermo Solutions, стремясь снизить экологические выбросы и повысить уровень технологий сгорания в Иране, разработали и производим горелки Low-NOx. Для ознакомления с характеристиками и моделями этих горелок вы можете перейти на страницу горелок Low-NOx от Best Thermo Solutions.
В этой технологии подача топлива или воздуха осуществляется по этапам (ступенчато), что снижает скорость реакции и предотвращает образование высокотемпературного пламени. В результате интенсивность образования NOx значительно уменьшается.
Ступенчатое сгорание широко применяется в энергетических горелках и в установках нефтехимической и нефтеперерабатывающей промышленности.
Одним из современных инновационных направлений является применение искусственного интеллекта и компьютерного моделирования для оптимизации процессов сгорания и снижения выбросов NOx.Этот подход позволяет промышленным предприятиям анализировать большие объёмы данных и моделировать различные рабочие условия, чтобы находить наиболее эффективные параметры горения.
Переход от ископаемых видов топлива к более чистым альтернативам — таким как природный газ или биотопливо — может существенно снизить образование NOx.В сочетании с современными технологиями уменьшения выбросов NOx такая замена топлива играет важную роль в снижении загрязнения атмосферного воздуха.
Оксиды азота (NOx) — это не просто один загрязнитель, а сложный продукт множества химических реакций, происходящих в процессе сгорания. Как было рассмотрено в этой статье, образование NOx включает три основных механизма: термический, топливный и быстрый. Каждый из них зависит от таких факторов, как температура, тип топлива и количество доступного кислорода.
К счастью, сегодня существуют эффективные инструменты для интеллектуального контроля этих процессов. Применение более чистых видов топлива, оптимизация режимов горения и использование современных технологий снижения NOx — таких как горелки Low-NOx, предсмесительные горелки Best Thermo Solutions и системы рециркуляции продуктов сгорания (FGR) — являются доказанными методами значительного уменьшения выбросов оксидов азота.
В Иране также возможно существенно снизить выбросы опасных соединений NOx посредством широкого внедрения существующих технологий и повышения эффективности двигателей внутреннего сгорания. В конечном итоге успешный контроль выбросов NOx — это инвестиция двойного назначения:как для охраны здоровья общества и окружающей среды, так и для повышения эффективности и устойчивости промышленных процессов в долгосрочной перспективе. Грамотный выбор и внедрение этих технологий открывает путь к достижению обеих целей.
Оксиды азота — это группа химических соединений, которые образуются в процессах сгорания. Они являются одними из основных загрязнителей городского воздуха и из-за негативного воздействия на здоровье человека и окружающую среду находятся под пристальным вниманием.Наиболее распространённые формы — NO и NO₂.
Три основных механизма образования NOx включают:
Горелки Low-NOx от Best Thermo Solutions используют такие технологии, как ступенчатое горение и предварительное смешение топлива и воздуха, что позволяет снижать температуру пламени и минимизировать образование NOx.
Система FGR — это технология уменьшения выбросов NOx, при которой часть горячих дымовых газов из дымохода возвращается обратно в камеру сгорания.Эти продукты сгорания, являющиеся в основном инертными, снижают температуру пламени и уменьшают концентрацию кислорода — два ключевых фактора, существенно уменьшающих образование термического NOx.
Два наиболее значимых экологических последствий NOx: